일자리지원
- 지원사업
- 일자리지원
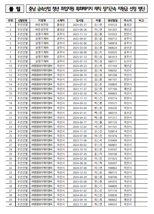
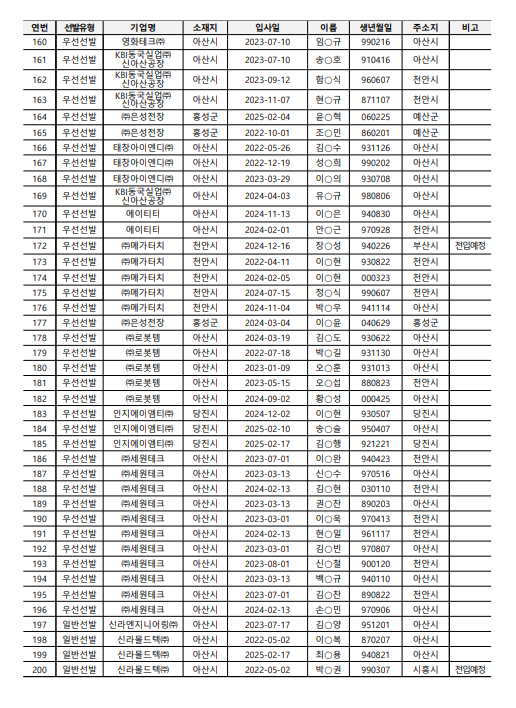
| 2025년 충남 금속산업 청년 취업지원 특화패키지 재직 장기근속 지원금 선정 명단 |
|---|
|
|
첨부
|
|
|
|
-
-
중소기업
-
마케팅
-
소상공인
-
일자리지원
-
광역
새일센터 -
사용문의























